香港腕表价格交流群

如何测量解算三角高程

2020-11-02 06:06:33

图文/百科

三角高程测量(trigonometric leveling),通过观测两点间的水平距离和天顶距(或高度角)求定两点间高差的方法。它观测方法简单,受地形条件限制小,是测定大地控制点高程的基本方法。基本原理

基本原理

三角高程测量的基本原理如图,A、B为地面上两点,自A点观测B点的竖直角为α1.2,S0为两点间水平距离,i1为A点仪器高,i2为B点觇标高,则A、B两点间高差为:

h1.2=S0tga1.2+i1-i2

上式是假设地球表面为一平面,观测视线为直线条件推导出来的。在大地测量中,当两点距离大于300m时,应考虑地球曲率和大气折光对高差的影响。 三角高程测量,一般应进行往返观测(双向观测),它可消除地球曲率和大气折光的影响。

为了提高三角高程测量的精度,通常采取对向观测竖直角,推求两点间高差,以减弱大气垂直折光的影响。


三角高程测量的观测


在测站上安置经纬仪,量取仪器高iA;在目标点上安置标杆或觇牌,量取觇标高VB。iA和VB用小钢卷尺量2次取平均,读数至1mm。用经纬仪望远镜中丝瞄准目标,将竖盘水准管气泡居中,读竖盘读数,盘左盘右观测为一测回,此为中丝法。竖直角观测的测回数及限差规定见表7-1。

表7-1 竖直角观测测回数与现差


项目

一、二、三级导线

图根导线 DJ2 DJ6 DJ6

测回数 1 2 1

各测回竖直角互差15" 25" 25"

各测回指标差互差15" 25" 25"

如果用电磁波测距仪测定斜距D′,则按相应平面控制网等级的测距规

三角高程测量的计算


三角高程测量——测量地面点高程的一种方法。在测站点上测定至照准点的高度角,量取测站点仪器高和照准点觇标高。若已知两点间的水平距离厅,根据三角学原理按下式求得两点间的高差为:

h=S×tgα+仪器高一觇标高

由对向观测所求得往、返测高差(经球气差改正)之差f△h 的容许值为:

图7-2


图7-2

f△h=±0.1 D (m)

式中:D为两点间平距,以km为单位。

  图7-2所示为三角高程测量控制网略图,在A、B、C、D四点间进行三角高程测量,构成闭合线路,已知A点的高程为234.88m,已知数据及观测数据注明于图上,在表6.18中进行高差计算。本例水平距离D为已知。


  图7-2 三角高程测量实测数据略图

由对向观测所求得高差平均值,计算闭合环线或附合线路的高差闭合差的容许值为:

式中:D以km为单位。

三角高程测量的精度


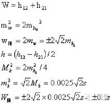
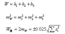
1、观测高差中误差

  如何估算三角高程测量外业的精度,在理论上很难推导出一个普遍适用的精度估算公式。我国根据不同地区地理条件20个测区实测资料,用不同边长的三角形高差闭合差来估算三角高程测量的精度,有经验公式:

Mh=P·s


式中,Mh对向观测高差平均值的中误差(m)  s边长(km)

  P每公里的高差中误差(m/km),P=0.013~0.022,取P=0.025 Mh=0.025s

  高差中误差与边长成正比。

  2、对向观测高差闭合差的限差


环形闭合差的限差

三角形高差闭合差

影响

一百多年以前,三角高程测量是测定高差的主要方法。自水准测量方法出现以后,它已经退居次要地位。但因其作业简单,在山区和丘陵地区仍得到广泛应用。

天顶距观测受到地面大气折光的严重影响。若大气密度是均匀分布的,由光源 L发出的光将以同心球波前的形式向各方向传播,其速度与大气密度相适应。实际上大气密度一般随着高程的增加而减小,所以光波向上传播的速度比水平方向上的大。这样,波前不再是同心球,而是图1所示的形式。这时由测站S观测光源L,将望远镜垂直于波前,所看到的光源视方向将如箭头所示;图中的虚线表示视线的路径,它处处垂直于波前。这种现象称为地面大气折光,光源的视方向与真方向SL之间的角γ称为折光角。在三角高程测量中,折光角取决于测站与观测目标之间大气的物理条件,特别是大气密度向上的递减率。在实际施测中,不可能充分地掌握大气的物理条件来计算折光角,一般只能估计它的概值,或者采取适当措施削弱它对最后结果的影响。

4计算方法


由三角高程测量结果计算两点间的高差时,是以椭球面为依据,这样求得的高差是椭球面高差。如图2,A、B两点对于椭球面的高程分别为 H1和H2。首先略去垂线偏差不计,设由A点向B点观测的天顶距为Z1(或高度角α1 =90°-Z1),该两点在椭球面上的投影A0和B0相距的弧长为S0,A0B0弧的曲率半径为R0,则A和B的高差是: 式中项是地球曲率的影响;项是大气折光的影响;k是折光系数,通常采用平均值k=0.10~0.16。

以上是由A 点向B 点观测天顶距Z1(或高度角α 1),求定该两点间高差的情况,称为单向三角高程测量。若在A、B两点间互相观测天顶距Z1和Z2(或高度角α 1和α 2),求定该两点间的高差,则称为对向三角高程测量。采用对向三角高程测量由于观测是在同样情况下进行的,两相对方向上的折光系数k可以认为近似相同,因而可以不必考虑折光改正项。特别是在同一时间内进行对向观测时,椭球面高差h的公式简化为: 。

在对向三角高程测量中,假定相对方向上的折光系数相同,固然不一定完全符合实际情况,但比单向三角高程测量中应用k的估值要可靠得多。因此,一般都采用对向三角高程测量。

以上的高差公式中,未顾及测站的垂线偏差对于观测天顶距的影响。在平坦地区采用对向三角高程测量,这种影响很小。此外,从公式推导过程来看,所求出的高差是椭球面高差,要化算为正高或正常高系统中的高差,还须加入改正。

在三角网或导线网中,由三角高程测量可以测定两点之间的椭球面高差,若再由水准测量求出这些点对于大地水准面的高程,则可得出各点上大地水准面对于椭球面的差距。因此,从理论上来看,三角高程测量也是一种测定地球形状的手段,它不依赖于任何假定。但由于人们一般不能以足够精度测定折光系数,因此三角高程测量迄今只能用于测定低精度的高差。

提高三角高程测量精度的措施有四项:

1,缩短视线。当视线长1000米时,折光角通常只是2″或3″。在这样的距离上进行对向三角高程测量,其精度同普通水准测量相当。

2,对向观测垂直角。

3,选择有利的观测时间。一般情况下,中午前后观测垂直角最有利。

4,提高视线高度。

佬雷开办以下业务:

①:,学信网出认证报告,考二建必备!

②:高级测量工,国家社会保障部查询!

③:江西鹰潭助理工程师(可网查有公示),直出办理!

④:江南大学、西北工业大学、电子科技大学(大专、本科网络教育)

⑤:水利五大员:施工员、资料员、材料员、质量员、安全员 直出办理!

需要咨询请加小编个人微信号:jzs0598 

(欢迎参与右下角留言)

友情链接

Copyright © 2023 All Rights Reserved 版权所有 香港腕表价格交流群