香港腕表价格交流群

技术 基于信号调理芯片实现桥式传感器高精度校准

2021-04-20 12:50:59

作者:常宇飞,苏州纳芯微电子有限公司现场应用经理


摘要:压力传感器是现实生活中最为常用的一种传感器,其广泛应用于各种工业控制,汽车电子,医疗设备,本文主要针对应变电阻惠斯通电桥式传感器的生产标定做出简要说明,以供压力传感器工程人员参考。限于编者水平有限,望读者对文中不妥和错误之处给予批评指正。


关键词:NSA2300信号调理芯片;惠斯通电桥;压力传感器校准


传感器特性




图1为直流电桥,当前输出电阻无限大时,则前桥的输出可简化如下:




图2(左)为xxx型压力传感器输出特性曲线。分别为在-40°,0°,25°以及85°温度环境中测试电桥在不同压力下输出。实际应用中我们往往期望传感器输出与温度无关且线性,如图2(右)。受限于MEMS设计制作工艺、材料物理特性等,MEMS传感器本身很难达到理想要求,实际应用中往往需在MEMS后端加入信号调理芯片对其进行校准。



图2 压力传感器输出特性曲线


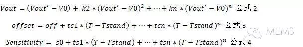
由图2可看出传感器输出不理想因素主要有:零点漂移(offset),灵敏度(Sensitivity),以及其非线性(Nonlinearity)。其中零点漂移(offset)和灵敏度(Sensitivity)均受温度影响,即体现为温度系数。可分别由如下公式表示:




公式1为理想传感器输出特性,而实际传感器特性则需借助于公式2,3,4分别对非线性(Nonlinearity),零点漂移(offset),灵敏度漂移(Sensitivity)进行描述。




符号说明:




信号调理芯片介绍


传感器信号调理芯片通常可以提供对前端传感器采集数据进行放大、校准和温度补偿的功能,从而使得传感器器件具有稳定可靠进行工作,并且使得器件之间具有良好的一致性。除使用集成式的信号调理芯片外,传统方案也可以使用外围分立电路来实现传感器的校准与标定,但效率低下,且效果依赖于人工与经验,不适于规模生产。而通过信号调理芯片的使用,能够免除手工校准的繁杂工作,并且提高传感器器件的可靠性。


常见的桥式信号调理芯片型号包括德国ZMDI公司的ZSC31010,美国美信公司的MAX1452,以及苏州纳芯微电子公司的NSA2300。接下来本文将以NSA2300为例介绍信号调理芯片对传感器进行校准的相关说明。NSA2300为一款专为桥式传感器提供的高集成、低功耗、高精度的传感器信号采集、放大和校准的传感器接口芯片,可以用于压力传感器调理,磁传感器调理,各类应变式传感器接口等。NSA2300可为传感器提供零点偏移及其温度补偿,灵敏度及其温度补偿以及非线性补偿,不需要其他额外的外部器件支持。NSA2300还提供多种温度测量模式,同时支持I2C/SPI数字输出和模拟输出,并可通过复用模拟输出引脚(AOUT)进行单线数字通讯(OWI)。


主要性能指标:


1、超宽的工作电压范围:1.8V ~ 5.5V


2、超宽的工作温度范围: -40 ℃~ 125 ℃


3、同时支持24位ADC数字输出和12位DAC模拟输出


4、优秀的噪声性能:600nV@OSR=1024X, Gain=32X (等效到输入噪声)


5、校准精度:0.05%FSO (同时支持二阶温度系数、三阶非线性校准)


6、超快转换时间:2ms@OSR=1024X


7、支持休眠工作模式,大幅减轻MCU负担


8、1X-128X可变增益的低噪声放大器


9、支持传感器诊断及输出箝位功能


10、高精度内部温度传感器(绝对精度<0.5℃,分辨率<0.01 ℃)


11、支持多种外部温度传感器(二极管,二端、三端热敏电阻等)


12、支持I2C/SPI串行通信接口


13、支持单线编程(复用模拟输出引脚)



图3 NSA2300系统框图


NSA2300校准原理:




NSA2300可分别对零点漂移(offset),灵敏度(Sensitivity)校准至二阶温度系数,以及三阶非线性系数。


标定系统



图4 标定系统


图4所示为标准NSA2300批量校准系统设备示例:PC机(一台)、直流稳压源(一台)、压力控制器(一台)、NSA2300批量测试板(一块)、高低温箱(一台)、万用表(可选)。


以上系统可实现一键式标定,利用PC机台控制所有仪器设备,并对ASIC完成数据采集、数据处理、标定系数写入,以及附件工作。尽可能减少人为参与,从而大大提高产能与产品良率。此测试方式也已被客户所认可,成为市场主流。为缩短客户对本公司产品验证、导入量产周期,我们可根据客户要求为客户定制开发测试软件,对于市场常见设备客户仅仅需提供设备型号或产品通信协议。


NSA2300标定流程


以下结合公司最新校准系统对NSA2300标定流程进行简述,以使读者有更加形象的认识。下图5(左)为校准系统配置界面,其中包括NSA2300工作状态、标定模式(详细描述查看附件1)、期望输出的配置,此配置界面中数据可形成文件保存,以供标定界面校准过程调用。图5(中)为标定界面,其主要完成工作有:1、根据配置界面初始化整个测试系统,对NSA2300原始数据采集、数据处理,以及标定后查看当前输出等功能。图5(右)为客户提供查看标定过程中数据接口,可作为数据分析工具。



图5 (左)初始化配置、(中)标定界面、(右)数据分析



图6 软件流程图


图6为上述软件操作流程图,由于不同客户端设备不同,以上软件并非全自动化一键式校准平台,其中设定温度、压力以及条件判断节点需要人工处理。具体操作步骤如下:


1、图5(左)设置初始配置文件。


2、图5(中)“初始化”测试系统软硬件平台。


3、手动设定标定温度、压力环境。


4、采集“TxPx”下NSA2300原始数据


5、是否所有温度、压力点下原始数据均采集完成,若未完成重复上述3、4步骤。


6、“校准”对采集到的原始数据进行数据处理,并将结果写会NSA2300.


7、“采集”复测当前温度、压力下输出结果,并手动调节不同温度、压力环境,查看输出是否达到期望误差范围内。


8、若误差在要求范围内,则对OTP进行烧写。


本文从传感器工作原理、信号特性,ASIC的补偿原理,以及标定环境、流程等全方面描述了桥式传感器的应用和批量生产流程。通过NSA2300校准系统可以使得传感器器件生产商完成原型样机后,能够轻松而快捷的满足客户小批量订单的要求。通过信号调理芯片的使用,能够简化传感器电路设计,缩短上市时间并简化校准测试流程。因此,在传感器领域,高集成度的信号调理芯片及校准系统成为不可或缺的重要组成部分。


附件:标定模式


NSA2300共提供9种常规校准模式分别为:1T2P、1T3P、1T4P、2T2P、2T3P、2T4P、3T2P、3T3P、3T4P,以下表1对各校准模式进行说明。(注:1T2P即为一个温度点两个压力点校准。)


表1 9种常规校准模式




友情链接

Copyright © 2023 All Rights Reserved 版权所有 香港腕表价格交流群