香港腕表价格交流群

112年前的今天,爱因斯坦驱散乌云丨科学史

2020-11-30 07:03:03

编者按:1905年6月30日,爱因斯坦提出有关狭义相对论的第一篇论文《论动体的电动力学》,并投稿给德国的《物理学年鉴》。那么,什么是狭义相对论呢?它的意义如何呢?


19世纪末20世纪初的物理学界,许多物理学家们觉得物理理论大厦已经落成。他们认为,以后的一些理论可能只是对这座大厦修修补补、添砖加瓦,一切问题都可以通过牛顿力学等理论解决。可正当物理学家们打算举杯欢庆时,两朵乌云出现了。解决其中一朵乌云的便是今天文章的主角——狭义相对论。

 

这朵乌云是迈克尔逊-莫雷实验的结果与以太学说的自相矛盾。以太是光的波动说基于机械观的论点引入的假想光波介质,同时它也是一种绝对惯性系。然而迈克尔逊-莫雷实验的结果表明,以太这样的介质是不存在的,这样的结果是令人意想不到的。

 

爱因斯坦摒弃了以太学说,他认为电磁场是独立的物理存在,以太学说是多余的。1905年6月30日,爱因斯坦提出有关狭义相对论的第一篇论文《论动体的电动力学》,并投稿给德国的《物理学年鉴》。狭义相对论的建立,改变了人们关于时间、空间、质量和能量等的旧有观念,从而开启了物理学的一场全新而深刻的革命,并使整个自然科学进入了一个崭新的阶段。



许多人觉得狭义相对论晦涩难懂,其实不然,用通俗的语言,也可以让大部分人明白狭义相对论讲的是什么。

 

首先,咱们来聊聊“狭义”。所谓的“狭义”,是指狭义相对论只适用于惯性坐标系中。什么是惯性坐标系呢?咱们回顾下牛顿第一定律,即惯性定律:假设没有任何外力施加或所施加的外力之和为零,则运动中物体总保持匀速直线运动状态,静止物体总保持静止状态。也就是说,使牛顿第一定律成立的某个时空间,就是惯性坐标系。简单的理解,就是“没有加速度的系统”。举个例子,地球是不是惯性坐标系呢?严格来说不是,由于地球受到太阳的引力而具有公转的向心加速度,地球上所有的物体都具有一个源自太阳的向心加速度,而同时地球本身也吸引物体,有所谓的重力加速度,除此之外,地球还绕地轴自转,使地球上的物体具有自转的向心加速度,凡此种种都说明了地球不是一个严格定义下的惯性系统。但是如果只看地球的局部,忽略种种因素,那么这个局部也可以看作一个惯性坐标系。

 

而“狭义相对论”中的“相对”即时间的相对性,也就是没有绝对的同时,只有相对的同时,时空之间有差别,处于不同状态的观测者将观测出不同时的结果。举个例子,假设两个人相距非常远,而两个人都带著一个手表,由于光的传播需要时间,那么任何一方都会觉得对方手表发出的光,会比自己手上的表所发出的光要用更多时间才能进入你的眼睛,也就是任何一个人看到手表存在着时间差。所以,如果把两个手表调成一样的时间,两人相距很远的时候看到的却是不一样的时间;若两人看到的是一样的时间,则此时表上的时间就不一样了。



有了以上的理解,咱们就可以讲讲狭义相对论的两个基本原理了:


1. 光速不变原理:在所有惯性系中,光速都为常数c,与光源运动无关(颠覆了伽利略变换,这也是相对论效应产生的根源)。

2. 狭义相对性原理:在所有惯性系中,物理定律有相同的表达形式。

 

在人们的认知里,速度是可以叠加的,如甲乙两人分别以速度v1、v2跑向对方,那么相对于甲来说,乙以v1+v2的速度向自己靠近(小学书本上的习题经常出现类似问题),这就是伽利略变换算出来的结果。然而如果把乙换成光呢?相对于甲,光是不是以速度v1+c向自己靠近呢?答案是否定的,因为光速是常数,这就是狭义相对论颠覆性之一,洛伦兹变换产生的原因。

 

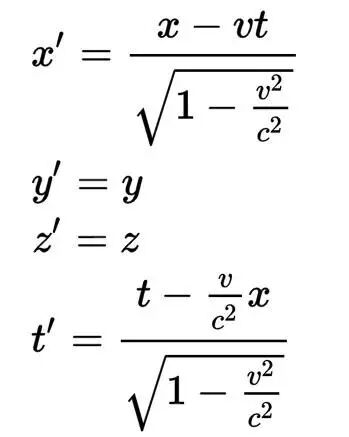
我们给出洛伦兹变换,以便下面计算部分使用(不想看公式的童鞋可以跳过这段):

 

当两个参考系s与s'在时刻t=0时重合,且s'相对s以速度v沿x轴正方向运动时,一个事件在s系的坐标(x,y,z,t)与在s'系的坐标(x',y',z',t')满足以下关系:



接下来咱们可以从理解的角度(定性)和计算的角度分别了解狭义相对论的一些现象,看看它有何颠覆性。(不想看公式的童鞋可以跳过计算部分)


1. 时间膨胀效应(动钟变缓)

 

当物体运动时,它的一切(物理、化学变化)从参照系的角度来看都会变慢,就是时间膨胀(简称时慢)。等速运动的物体带在身上的时钟,用静系观察者的时钟去测量,不论运动方向,测量结果动钟都随着运动速度增加而变慢。

 

例子:假设小红站在月台上,小明(又见小明)站在一节快速行进的车厢中,车厢顶部有一面镜子,有一束光从底部向顶部垂直发出,经顶部的镜子反射,回到光源处。

 

理解的角度:在小明眼里,光线经过的距离是两个车厢的高度,但是在小红眼里,由于车在动,那么她看到的光路并不是垂直的,具体的如下图:



左侧是小明眼里的景象,右侧是小红眼里的景象。由于光速是常数,那么对比下两个过程,月台上的小红看到光发射、反射、回到光源处的所用时间比较长,这就是时间膨胀效应。

 

计算的角度:假设车厢高度为H,车速为v,那么车厢这个坐标系中,

由勾股定理可得地面上看到光线经过的距离为


联立上面两式,可得: ,由于v小于c,因此t大于t’。


 

2. 长度收缩效应(动尺变短)

 

相对于某物体运动的观测者观测,在运动的那个轴向的长度,会比相对于物体静止的观测者观测到的同一长度要短。

 

例子:有一辆运动的火车,在月台上测量这辆运动的火车的长度。

 

理解的角度:月台上的工作人员要测量这辆运动的火车的长度,必须“同时”标定车头和车尾的位置,可是,在这辆车上的人看来并非如此。他们看到的是车头的位置先被标记了,然后才标记车尾的位置,所以在标记车尾之前,火车已经向前运动了一段距离,也就说,在车上的人看来,月台上测量的火车的长度会比较小。

 

计算的角度:假设车上的人测得车厢长度为d0,月台上的工作人员测得的车厢长度为d,那么经过计算可得两者的关系为:  ,由于v小于c,所以d小于d0


类似的相对论效应还有很多,比如相对论质量,即同一个物理,运动时的质量比静止时的质量大( ,m0为静止时的质量,m为运动时的质量,v为物理的运动速度),之所以物体的运动速度不能超过光速,原因就在此(当v大于c时,分母开根号是个虚数,没有物理意义)。爱因斯坦在《论动体的电动力学》一文的最后,推导出了电子质量随速度变化的关系和电子的动能公式,并由电子速度等于光速c时动能变为无穷大的结果预言电子速度不可能大于光速。


其实狭义相对论还有许多有趣的话题可以讨论的,例如著名的质能公式 E = mc2、双生子悖论、能量-动量四维向量,以及相对论性电磁场理论等等。

 

经过上述讨论,我们可以理解相对论的颠覆性了,它的提出从根本上改变了物理学的面貌。


经典理论中时间和空间是分别独立的,但在狭义相对论中,两者是有密切联系的;经典理论中,能量和质量之间不可转化,但狭义相对论中,他们可以通过质能方程联系起来(E=mc2)。当然,我们也不能否认牛顿力学的伟大,毕竟在速度较小的情况下,我们不必“请”出相对论,因为此时的相对论效应可以忽略不计,牛顿力学就可以大显神通。狭义相对论的提出颠覆了物理学家们的认知,它树立了新的时空观、运动观、物质观。它是20世纪人类思想史上最伟大的成就之一,也是一场理论革命。


来源:中国科学院物理研究所



友情链接

Copyright © 2023 All Rights Reserved 版权所有 香港腕表价格交流群